VCE高考 | 高数SM中数MM都必考的微积分知识点
同学们,距离VCE高考还有一个月的时间,
大家一定要好好复习呀~
在面对众多数学知识点
同学们一定要抓住一些必考的内容
今天就为同学们讲解一下
VCE中数和VCE高数都必考的一个知识点
微积分中的切线方程问题
1
首先,我们先回顾一下这个知识点的来源,同学们可以翻开VCE中数unit3-4的textbook的10A,或者VCE高数unit3-4的6A
根据微积分的基本定义,在一个函数(或者曲线)上的某一点的导数值,是过该点的切线方程(tangent line)的斜率。为了方便同学们记,我们可以简化记忆为导函数值=斜率
根据切线方程的知识,后面会相继引出法线方程(normal function),即与切线方程垂直的一条函数方程,考察的知识则是:两条垂直的直线方程,它们的斜率乘积为-1,即m1*m2=-1。同时还会考察与切线方程平行的直线方程求法,考察的知识点则是:两条平行直线方程的斜率相等,即m1=m2。
2
在回顾完知识点后,
我们来梳理下这种题型的常见求法
通常来说,题目中会给定一个函数方程,
然后给定一个具体的点,
让你求过这个点的切线方程。
具体步骤如下:
由于该知识点既会出现在VCE中数、VCE高数卷1,也会出现在VCE中数、VCE高数卷2。
我们将为同学们讲解手算和计算器两种解法
1
手算:
1
对目标函数进行求导
此处要注意计算的准确率,通常函数求导会用到product rule或者chain rule。同学们切记不要套错公式或者漏掉符号
2
将该点带入1中所求的导函数方程,求出该点的导函数值,即斜率m
3
通常来说题目中只会给你这个点的横坐标,如,pass x=6。这时候我们要求出该点所对应的纵坐标,即把x=6代入原函数方程中。切记一定是要带入题目中的原始函数方程,而不是1中求出的导函数。这是同学们最容易出错和产生误解的地方
4
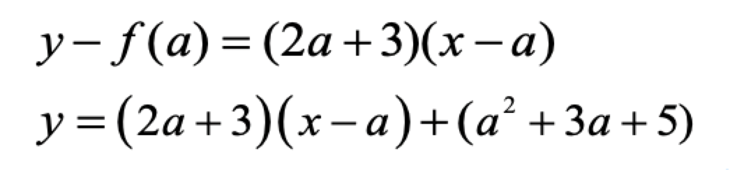
将2和3中求出的斜率和点的坐标带入上面图片中的公式,即可求出最终答案,此处同学们记得将答案化简为y= mx + c的形式
接下来问同学们归纳一下常见的问题:
求出的是切线方程,它是一条直线,所以一定是y=mx+c的形式,如果你的答案中x的指数不是1,例如x^2, 1/x, 那么一定是计算过程中出现了错误,回去好好检查一下
切记不要把点带入到求完导之后的函数方程里,这里再次强调一下
不要套错公式
如果题目中问的是normal function,那么还是根据上述的流程,先求出斜率,再根据m1*m2=-1求出法线方程的斜率,再将点的坐标代入公式。所以同学们一定要审清题目,不要看到normal function而不知所措
接下来我们拿一些
VCE中数、VCE高数历年真题来具体讲解一下
下面是2020年VCE中数卷1的一道题
其中b问的后三问全部都是和切线方程有关
我们根据上述的步骤来一起计算下,
首先对题目中的函数进行求导,
得出导函数方程为2x+3
将点的横坐标代入1中的导函数方程,
由于点的横坐标是a,所以斜率m=2a+3
求出Q点的完整坐标,
将a代入题目中的原始函数求出Q的纵坐标
套入公式,求得
之后再根据题目中的进一步要求,
继续求解a的值
3
手算部分的过程已经为同学们讲解完了,
接下来为同学们梳理下如何用计算器快速的求解。
我们同样拿一道
2021北半球VCE中数卷2中的题来看一下
e问中虽然问的是y- intercept,但是我们需要求出具体的切线方程才能知道y- intercept,所以其实是一回事。
我们拿CAS计算器为例,同学们记住按键顺序:menu—4—9 就是求切线方程的功能,按顺序输入函数方程和点的横坐标,此处记得打逗号
此处化简一下并写成y=mx+c的形式,
即可写出最终答案
(由于题目中问的是y-intercept,所以标答为了更明确写成了y=c+mx的形式,并不影响结果)
今天的分享就到这里啦!
希望对大家的VCE中数、VCE高数
微积分中求切线方程的知识点有所帮助!
要想准确掌握这个知识点就是需要注意
解题步骤,计算准确率,
以及对计算器使用的熟练度
如果有任何问题,欢迎联系我们
END
添加龙老师
预约VCE中数 VCE高数在线试听
获取私人定制学习计划
